Matematický klokan 2006
Najväčšia matematická súťaž na svete. Na Slovensku sa koná už desiaty rok(prvýkrát v školskom roku 1996/97). V marci 2005 sa súťaže zúčasnilo 3,4 milióna žiakov v 34 krajinách! V tomto roku sa „testovalo“ 16. marca 2006. „Klokanie“ testy riešilo 88170 žiakov škôl rôzneho typu(ZŠ, SŠ, Gymnázia) na Slovensku.
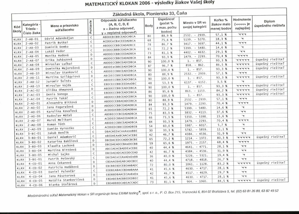
Do súťaže sa prihlásilo 103 žiakov našej školy. Test sa písal v školskej jedálni pod dozorom p. uč. Kozmášovej. Odpoveďové hárky zo všetkých kategórií od 2. ročníka až po 9. ročník spracovala bratislavská firma EXAM.
Najúspešnejší riešitelia – držitelia 5 klokaníkov sú:
Miroslav Lučkai, 2. A
Dominika Majorošová, 2. A
Miroslav Stankovič, 2. A
Jaromír Šoltés, 2. A
Eliška Ohmanová, 2. B
Denis Sonoga, 2.B
Patrik Takáč, 2. B
Katarína Bakšiová, 3. B
Patrícia Hudáková, 4.A
Bianka Stoľárová, 4. A
Stanislav Žoldák, 5. A
Šimon Kéder, 5. C
Peter Petruš, 5. C
Stanislav Varga, 5. D
Lukáš Miľo, 6.C
Jakub Fekete, 7.B
Roman Maťaš, 8. C
